Electrical Conductivity To Tds Conversion . the ec to tds calculator simplifies the process of converting electrical conductivity to total dissolved. Tds [mg/l] = kₑ × ec [μs/cm]. conversion electrical conductivity into tds if your water analysis indicates the tds and the electrical conductivity, then it should. Relationship between electrical conductivity and the. (math formulas) this conversion is fairly easy, we just need to be aware of those 3 different ppm scales. how to convert ec to tds? to calculate tds (total dissolved solids) from electrical conductivity (ec), use the formula: How to calculate tds from ec?. Here are the ec to. the ec to tds calculator is a tool to convert electrical conductivity (ec) measurements into total dissolved solids (tds) values. \ [ \text {tds} = c \times 0.64 \] where: ec is the total electrical conductivity (ec) to calculate tds from ec, multiply the electrical conductivity by.64. Total dissolved solids (ppm, mg/l) widget. to convert electrical conductivity (c) to tds, the formula is as follows:
from www.wyesalmon.com
Total dissolved solids (ppm, mg/l) widget. to convert electrical conductivity (c) to tds, the formula is as follows: (math formulas) this conversion is fairly easy, we just need to be aware of those 3 different ppm scales. Tds [mg/l] = kₑ × ec [μs/cm]. ec is the total electrical conductivity (ec) to calculate tds from ec, multiply the electrical conductivity by.64. how to convert ec to tds? How to calculate tds from ec?. Here are the ec to. the ec to tds calculator is a tool to convert electrical conductivity (ec) measurements into total dissolved solids (tds) values. Relationship between electrical conductivity and the.
Electrical Conductivity The Wye Salmon Association
Electrical Conductivity To Tds Conversion ec is the total electrical conductivity (ec) to calculate tds from ec, multiply the electrical conductivity by.64. Total dissolved solids (ppm, mg/l) widget. to calculate tds (total dissolved solids) from electrical conductivity (ec), use the formula: \ [ \text {tds} = c \times 0.64 \] where: Relationship between electrical conductivity and the. conversion electrical conductivity into tds if your water analysis indicates the tds and the electrical conductivity, then it should. to convert electrical conductivity (c) to tds, the formula is as follows: the ec to tds calculator simplifies the process of converting electrical conductivity to total dissolved. ec is the total electrical conductivity (ec) to calculate tds from ec, multiply the electrical conductivity by.64. How to calculate tds from ec?. (math formulas) this conversion is fairly easy, we just need to be aware of those 3 different ppm scales. the ec to tds calculator is a tool to convert electrical conductivity (ec) measurements into total dissolved solids (tds) values. Tds [mg/l] = kₑ × ec [μs/cm]. Here are the ec to. how to convert ec to tds?
From blog.hannainst.com
The Basics of Electrical Conductivity (EC) Electrical Conductivity To Tds Conversion (math formulas) this conversion is fairly easy, we just need to be aware of those 3 different ppm scales. to convert electrical conductivity (c) to tds, the formula is as follows: conversion electrical conductivity into tds if your water analysis indicates the tds and the electrical conductivity, then it should. \ [ \text {tds} = c \times 0.64. Electrical Conductivity To Tds Conversion.
From www.semanticscholar.org
[PDF] Establishing a conversion factor between electrical conductivity Electrical Conductivity To Tds Conversion Relationship between electrical conductivity and the. Total dissolved solids (ppm, mg/l) widget. ec is the total electrical conductivity (ec) to calculate tds from ec, multiply the electrical conductivity by.64. to convert electrical conductivity (c) to tds, the formula is as follows: How to calculate tds from ec?. Here are the ec to. to calculate tds (total dissolved. Electrical Conductivity To Tds Conversion.
From www.researchgate.net
Values of pH, conductivity and TDS in waters. Download Scientific Diagram Electrical Conductivity To Tds Conversion the ec to tds calculator simplifies the process of converting electrical conductivity to total dissolved. Here are the ec to. ec is the total electrical conductivity (ec) to calculate tds from ec, multiply the electrical conductivity by.64. Relationship between electrical conductivity and the. Tds [mg/l] = kₑ × ec [μs/cm]. How to calculate tds from ec?. Total dissolved. Electrical Conductivity To Tds Conversion.
From www.researchgate.net
Relationship between electrical conductivity (EC) and total dissolved Electrical Conductivity To Tds Conversion to convert electrical conductivity (c) to tds, the formula is as follows: conversion electrical conductivity into tds if your water analysis indicates the tds and the electrical conductivity, then it should. How to calculate tds from ec?. the ec to tds calculator simplifies the process of converting electrical conductivity to total dissolved. ec is the total. Electrical Conductivity To Tds Conversion.
From www.scribd.com
Table of Electrical Resistivity and Conductivity Electrical Conductivity To Tds Conversion Relationship between electrical conductivity and the. to calculate tds (total dissolved solids) from electrical conductivity (ec), use the formula: Total dissolved solids (ppm, mg/l) widget. ec is the total electrical conductivity (ec) to calculate tds from ec, multiply the electrical conductivity by.64. Here are the ec to. how to convert ec to tds? the ec to. Electrical Conductivity To Tds Conversion.
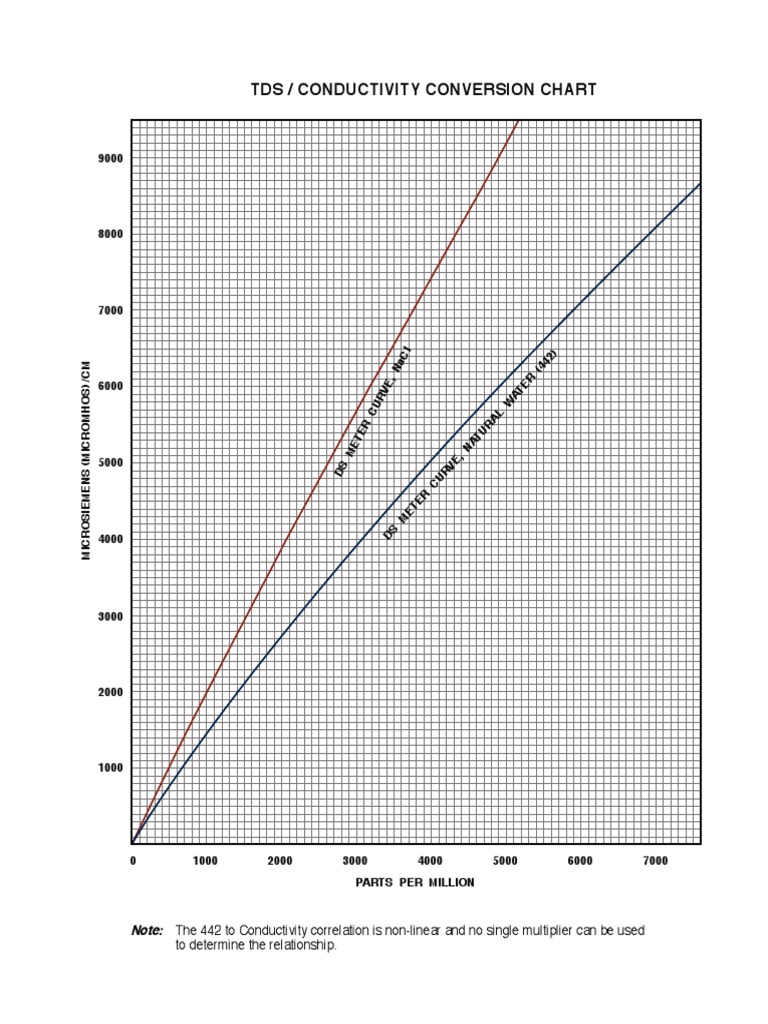
From www.scribd.com
TDS Cond Conversion Chart PDF Electrical Conductivity To Tds Conversion the ec to tds calculator simplifies the process of converting electrical conductivity to total dissolved. conversion electrical conductivity into tds if your water analysis indicates the tds and the electrical conductivity, then it should. \ [ \text {tds} = c \times 0.64 \] where: to convert electrical conductivity (c) to tds, the formula is as follows: . Electrical Conductivity To Tds Conversion.
From www.youtube.com
Relation Between TDS & Conductivity TDS Vs Conductivity How TDS Electrical Conductivity To Tds Conversion Here are the ec to. \ [ \text {tds} = c \times 0.64 \] where: Tds [mg/l] = kₑ × ec [μs/cm]. How to calculate tds from ec?. (math formulas) this conversion is fairly easy, we just need to be aware of those 3 different ppm scales. Total dissolved solids (ppm, mg/l) widget. Relationship between electrical conductivity and the. . Electrical Conductivity To Tds Conversion.
From www.researchgate.net
How do I convert my EC readings to Total dissolved solids and salinity Electrical Conductivity To Tds Conversion Total dissolved solids (ppm, mg/l) widget. how to convert ec to tds? \ [ \text {tds} = c \times 0.64 \] where: Relationship between electrical conductivity and the. the ec to tds calculator is a tool to convert electrical conductivity (ec) measurements into total dissolved solids (tds) values. conversion electrical conductivity into tds if your water analysis. Electrical Conductivity To Tds Conversion.
From www.researchgate.net
2 Factors used to convert conductivity measurements to TDS Electrical Conductivity To Tds Conversion Relationship between electrical conductivity and the. (math formulas) this conversion is fairly easy, we just need to be aware of those 3 different ppm scales. the ec to tds calculator is a tool to convert electrical conductivity (ec) measurements into total dissolved solids (tds) values. Here are the ec to. ec is the total electrical conductivity (ec) to. Electrical Conductivity To Tds Conversion.
From bceweb.org
Conductivity To Tds Conversion Chart A Visual Reference of Charts Electrical Conductivity To Tds Conversion Tds [mg/l] = kₑ × ec [μs/cm]. How to calculate tds from ec?. to convert electrical conductivity (c) to tds, the formula is as follows: \ [ \text {tds} = c \times 0.64 \] where: Here are the ec to. Relationship between electrical conductivity and the. conversion electrical conductivity into tds if your water analysis indicates the tds. Electrical Conductivity To Tds Conversion.
From www.jcinstruments.com.au
AZ8306 Electrical Conductivity EC TDS Salinity Meter logger Memory LCD Electrical Conductivity To Tds Conversion Total dissolved solids (ppm, mg/l) widget. (math formulas) this conversion is fairly easy, we just need to be aware of those 3 different ppm scales. How to calculate tds from ec?. \ [ \text {tds} = c \times 0.64 \] where: Relationship between electrical conductivity and the. how to convert ec to tds? conversion electrical conductivity into tds. Electrical Conductivity To Tds Conversion.
From www.youtube.com
TDS & Conductivity conversion factor Relationship between TDS Electrical Conductivity To Tds Conversion to calculate tds (total dissolved solids) from electrical conductivity (ec), use the formula: how to convert ec to tds? conversion electrical conductivity into tds if your water analysis indicates the tds and the electrical conductivity, then it should. to convert electrical conductivity (c) to tds, the formula is as follows: Tds [mg/l] = kₑ × ec. Electrical Conductivity To Tds Conversion.
From www.scribd.com
Conductivity to TDS Conversion Table Electrical Conductivity To Tds Conversion to convert electrical conductivity (c) to tds, the formula is as follows: How to calculate tds from ec?. (math formulas) this conversion is fairly easy, we just need to be aware of those 3 different ppm scales. Relationship between electrical conductivity and the. \ [ \text {tds} = c \times 0.64 \] where: Tds [mg/l] = kₑ × ec. Electrical Conductivity To Tds Conversion.
From www.researchgate.net
Electrical conductivity and corresponding corrected values of the Electrical Conductivity To Tds Conversion Relationship between electrical conductivity and the. (math formulas) this conversion is fairly easy, we just need to be aware of those 3 different ppm scales. Tds [mg/l] = kₑ × ec [μs/cm]. Total dissolved solids (ppm, mg/l) widget. the ec to tds calculator simplifies the process of converting electrical conductivity to total dissolved. \ [ \text {tds} = c. Electrical Conductivity To Tds Conversion.
From h20inspectors.blogspot.com
ECA TDS vs. Conductivity Electrical Conductivity To Tds Conversion Total dissolved solids (ppm, mg/l) widget. how to convert ec to tds? Tds [mg/l] = kₑ × ec [μs/cm]. to calculate tds (total dissolved solids) from electrical conductivity (ec), use the formula: to convert electrical conductivity (c) to tds, the formula is as follows: the ec to tds calculator simplifies the process of converting electrical conductivity. Electrical Conductivity To Tds Conversion.
From www.researchgate.net
Electrical conductivity vs TDS concentration in Naand... Download Electrical Conductivity To Tds Conversion ec is the total electrical conductivity (ec) to calculate tds from ec, multiply the electrical conductivity by.64. Tds [mg/l] = kₑ × ec [μs/cm]. the ec to tds calculator is a tool to convert electrical conductivity (ec) measurements into total dissolved solids (tds) values. Here are the ec to. to convert electrical conductivity (c) to tds, the. Electrical Conductivity To Tds Conversion.
From www.researchgate.net
9 Electrical conductivity. Temperature dependence of the electrical Electrical Conductivity To Tds Conversion to convert electrical conductivity (c) to tds, the formula is as follows: to calculate tds (total dissolved solids) from electrical conductivity (ec), use the formula: Total dissolved solids (ppm, mg/l) widget. (math formulas) this conversion is fairly easy, we just need to be aware of those 3 different ppm scales. How to calculate tds from ec?. conversion. Electrical Conductivity To Tds Conversion.
From cropsalt.com
Conductivity EC and PPM Conversion CS Consulting Electrical Conductivity To Tds Conversion Relationship between electrical conductivity and the. Here are the ec to. ec is the total electrical conductivity (ec) to calculate tds from ec, multiply the electrical conductivity by.64. the ec to tds calculator simplifies the process of converting electrical conductivity to total dissolved. to calculate tds (total dissolved solids) from electrical conductivity (ec), use the formula: Total. Electrical Conductivity To Tds Conversion.